ggwidth ggwidth website

CRAN status

The objective of ggwidth is to standardise ‘ggplot2’ geom width.

It provides methods to ensure the width in ggplot2 geoms are visually consistent across plots with different numbers of categories, panel dimensions, and orientations.

It works with geoms such as geom_bar/geom_col, geom_boxplot and geom_errorbar.

Note this function requires:

Installation

Install from CRAN, or development version from GitHub.

install.packages("ggwidth") 
pak::pak("davidhodge931/ggwidth")

Example

library(ggplot2)
library(dplyr)
library(ggwidth)
library(patchwork)

set_theme(
  theme_grey() +
    theme(panel.widths  = rep(unit(75, "mm"), 2)) +
    theme(panel.heights = rep(unit(50, "mm"), 2))
)

set_equiwidth(1)
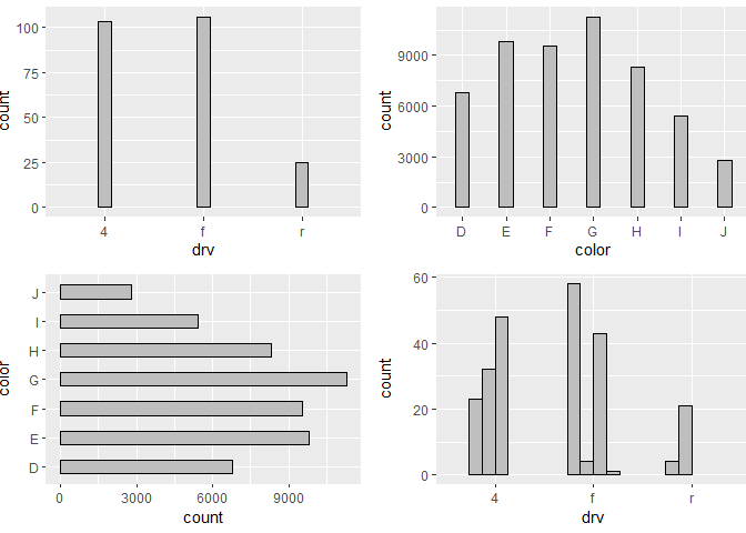
p1 <- mpg |>
  ggplot(aes(x = drv)) +
  geom_bar(
    width = get_width(n = 3),
    colour = "black",
    fill = "grey",
  )

p2 <- diamonds |>
  ggplot(aes(x = color)) +
  geom_bar(
    width = get_width(n = 7),
    colour = "black",
    fill = "grey",
  )

p3 <- diamonds |>
  ggplot(aes(y = color)) +
  geom_bar(
    width = get_width(n = 7, orientation = "y"),
    colour = "black",
    fill = "grey",
  )

p4 <- mpg |>
  ggplot(aes(x = drv, group = factor(cyl))) +
  geom_bar(
    position = position_dodge(preserve = "single"),
    width = get_width(n = 3, n_dodge = 4),
    colour = "black",
    fill = "grey",
  ) 

p1 + p2 + p3 + p4

d <- tibble::tibble(
  continent = c("Europe", "Europe", "Europe", "Europe", "Europe",
                "South America", "South America"),
  country   = c("AT", "DE", "DK", "ES", "PK", "TW", "BR"),
  value     = c(10L, 15L, 20L, 25L, 17L, 13L, 5L)
)

max_n <- d |>
  count(continent) |>
  pull(n) |>
  max()

d |>
  mutate(country = forcats::fct_rev(country)) |>
  ggplot(aes(y = country, x = value)) +
  geom_col(
    width = get_width(n = max_n, orientation = "y"),
    colour = "black",
    fill = "grey",
  ) +
  facet_wrap(~continent, scales = "free_y") +
  scale_y_discrete(continuous.limits = c(1, max_n)) +
  coord_cartesian(reverse = "y", clip = "off")

mpg |>
  ggplot(aes(x = drv)) +
  geom_bar(
    width = get_width(n = 3, panel_widths = unit(160, "mm")),
    colour = "black",
    fill = "grey",
  ) +
  theme(panel.widths = unit(160, "mm"))

Other packages

This package is part of a group of related packages built to extend ggplot2.

ggblanket ggrefine ggscribe ggwidth blends jumble

mirror server hosted at Truenetwork, Russian Federation.